컨텐츠로 건너뛰기
매쓰코드 프라이빗
매쓰코드 학원 Blog
매쓰코드 자료 Cafe
매쓰코드 프라이빗 수학 개념 검색
동래 명륜동 수학학원 매쓰코드 프라이빗
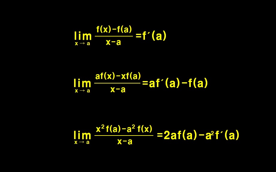
미분법
미분법
메뉴
매쓰코드 프라이빗
매쓰코드 학원 Blog
매쓰코드 자료 Cafe
매쓰코드 프라이빗 수학 개념 검색
가입
로그인
단축 링크 복사
이 콘텐츠 신고하기
구독 관리
댓글 로드중...
댓글 달기...
이메일
이름
웹사이트
워드프레스닷컴으로 이처럼 사이트 디자인
시작하기